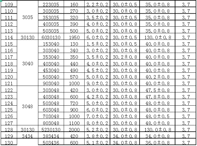
聚合物鋰電池型號及容量表
發布人:Jay
發布時間:2019-06-17
瀏覽次數:21070
此鋰電池型號表可用來查詢常見鋰電池型號容量,電池容量在鋰電池行業通用算法為:
容量~長*烷*厚系數(0.1~0.12),此算法只能初步反應鋰電池的容量,實際容量視具體產品而定。下面是目前比較常見的鋰電池型號規格參數,僅供參考。







聚合物鋰電池命名方法: CA+厚度+寬度+高度,如CA454061,電池的厚度約為4.5mm,寬度約為40mm,高度約為61mm。 聚合物鋰離子電池能量密度計算方法: 能量密度=容量(mAh)*3.7(V)/(L*W*T)*1000 例如:CA605585 3400mah. 能量密度=3400mah*3.7/(6*55*85)*1000=448Wh/L
標簽:
聯系我們
相關文章
-

2026 年鋰電池全球出口與銷售認證要點匯總
2025-12-10 -

什么是泳池清洗機器人?
2025-09-02 -

宇樹、云深處、小米、蔚藍等18 款主流機器人“心臟”—動力電池全景解析
2025-08-19










